Tel: 1 (613) 722-4444
Fax: 1 (613) 722-6624
E-mail:
[email protected]
หมายเลขโทรศัพท์ฉุกเฉินสำหรับคนไทย +๑ (๖๑๓)-๘๕๓-๒๖๕๐
A
A
A
Language
Thai
English
Royal Thai Embassy, Ottawa
สถานเอกอัครราชทูต ณ กรุงออตตาวา
Follow us:
Royal Thai Embassy, Ottawa
Language
Thai
English
Home
About the Embassy
Thai Government Representative Offices in Canada
Royal Thai Honorary Consulates in the Caribbeans
List of Thai Ambassadors to Canada
About Thailand
Doing Business in Thailand
Thailand – Canada Relations
Thai Businesses in Canada
Visiting Thailand
Visa
Applying for an e-Visa
Types of Visas
Visa Fees
Countries with Visa Fee Exemptions
Countries and Territories entitled for Visa Exemption and Visa on Arrival
Download Forms
Tourism Authority of Thailand
Filming in Thailand
Police Clearance Certificates
Bringing Your Medication into Thailand
Bringing Pets into Thailand
Legalisation for Foreigners
Doing Business in Thailand
Thai Businesses in Canada
Thai Select in Canada
Thai Community in Canada
Thai Associations
Buddhist Temples and Monasteries
Thailand – Canada Relations
Embassy's Holidays
Contact Us
Home
About the Embassy
Thai Government Representative Offices in Canada
Royal Thai Honorary Consulates in the Caribbeans
List of Thai Ambassadors to Canada
About Thailand
Doing Business in Thailand
Thailand – Canada Relations
Thai Businesses in Canada
Visiting Thailand
Visa
Applying for an e-Visa
Types of Visas
Visa Fees
Countries with Visa Fee Exemptions
Countries and Territories entitled for Visa Exemption and Visa on Arrival
Download Forms
Tourism Authority of Thailand
Filming in Thailand
Police Clearance Certificates
Bringing Your Medication into Thailand
Bringing Pets into Thailand
Legalisation for Foreigners
Doing Business in Thailand
Thai Businesses in Canada
Thai Select in Canada
Thai Community in Canada
Thai Associations
Buddhist Temples and Monasteries
Thailand – Canada Relations
Embassy's Holidays
Contact Us
Home
News
EMBASSY'S ANNOUNCEMENT
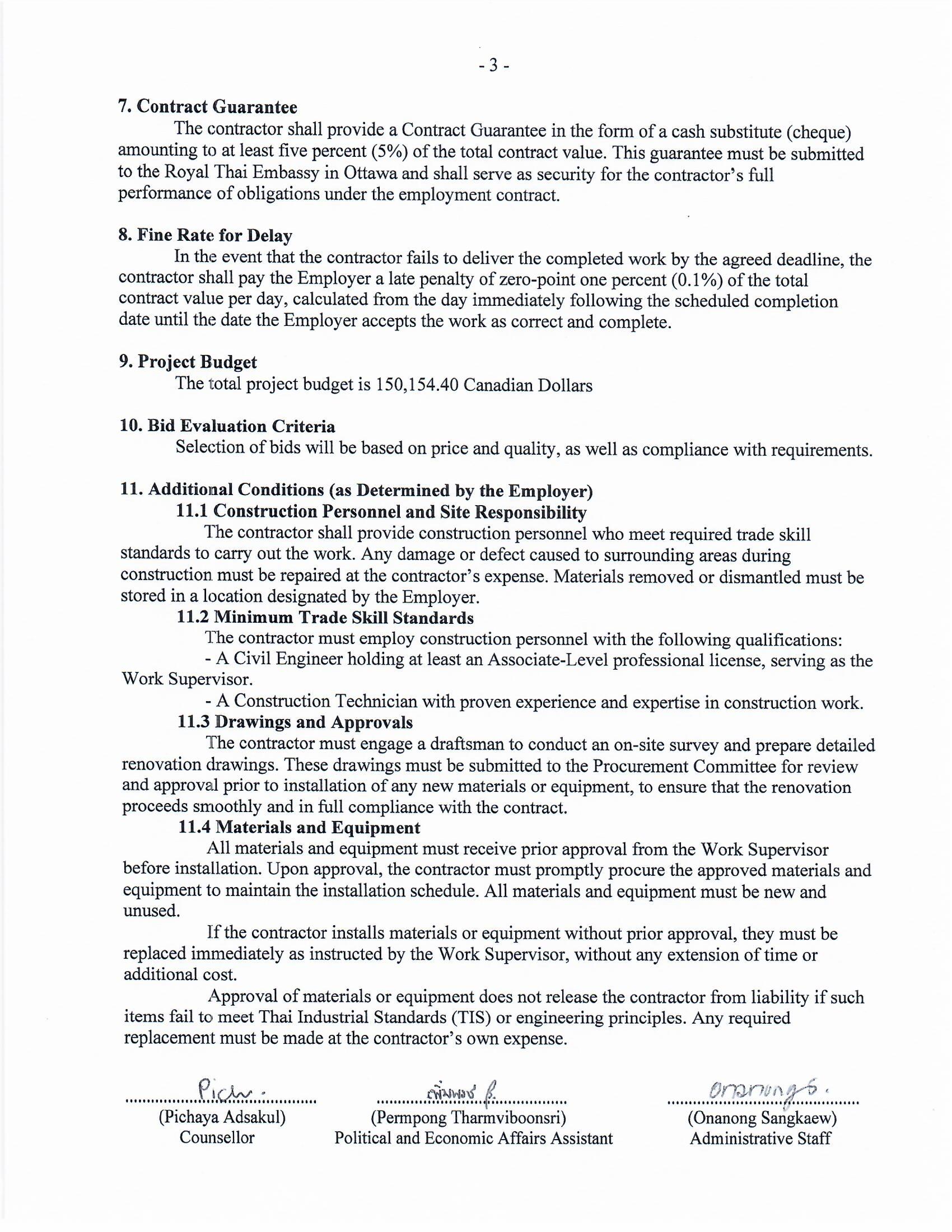
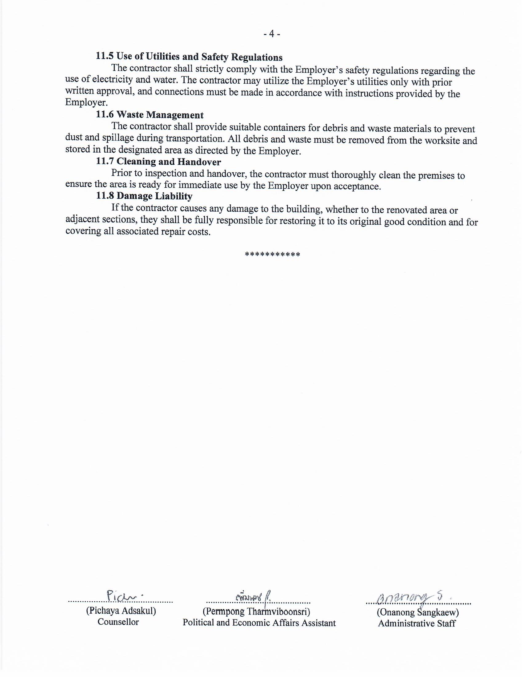
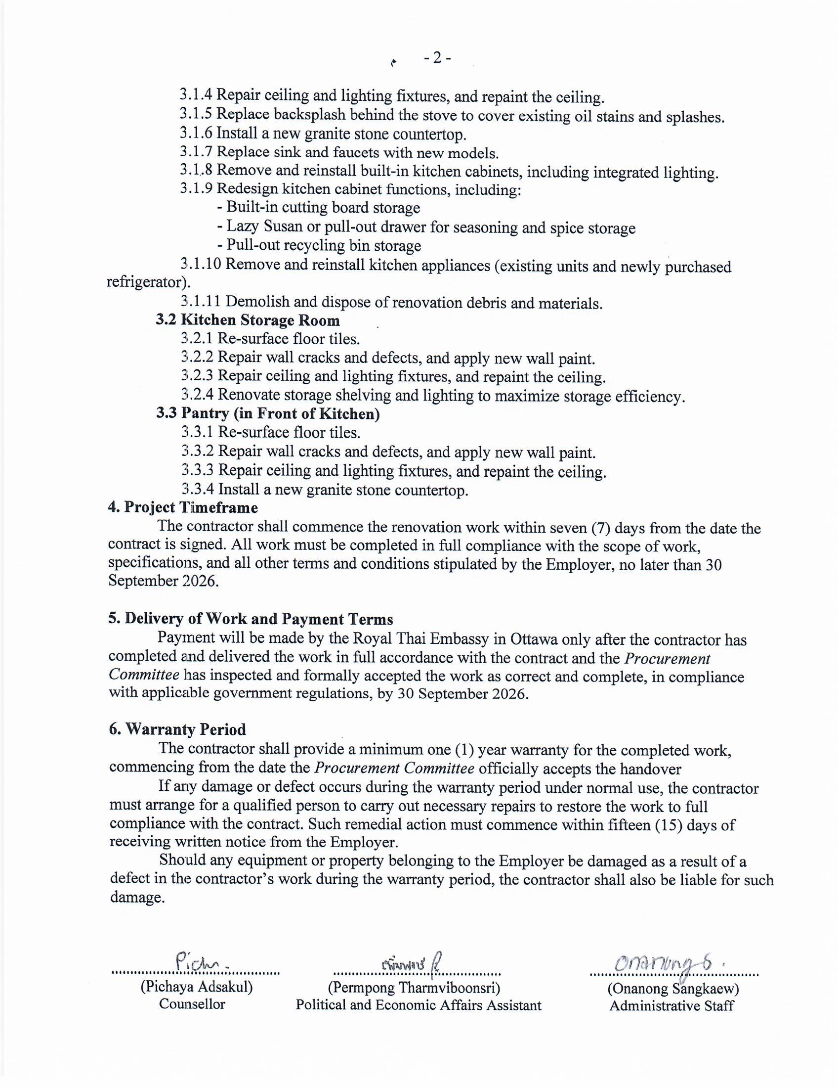
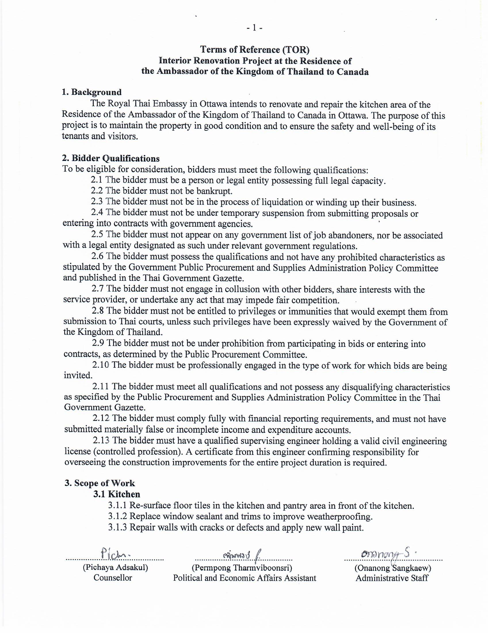
Announcement No. 36 / B.E. 2568 (2025) of the Royal Thai Embassy, Ottawa Subject: Invitation to bid for an interior renovation project
Announcement No. 36 / B.E. 2568 (2025) of the Royal Thai Embassy, Ottawa Subject: Invitation to bid for an interior renovation project
Announcement No. 36 / B.E. 2568 (2025) of the Royal Thai Embassy, Ottawa Subject: Invitation to bid for an interior renovation project
วันที่นำเข้าข้อมูล 12 Nov 2025
|
783 view
Toggle Dropdown
Tag
BIDDING
ANNOUNCEMENT
THE ROYAL THAI EMBASSY
2025
2568
OTTAWA
RENOVATION
Prev
Next